-
ML lec 02 - Linear Regression인공지능 및 기계학습 개론/ML_LEC 2020. 2. 10. 19:50
Predicting exam score : regression(회귀)
x(hours) - y(score) -> train -> model
example training data
- y=x
- 선형적으로 추정 될수있는것들이 많이 존재
- H(x) = Wx + b(선의 모양은 W와 b에 따라 결정)
어떤 W, b 가 가장 좋은 모델일까? Cost Fuction
- 실제 데이터와 모델 방정식 과의 거리 : 가설과 실제 데이터가 얼마나 다른가?
- (H(x)-y) ^ 2
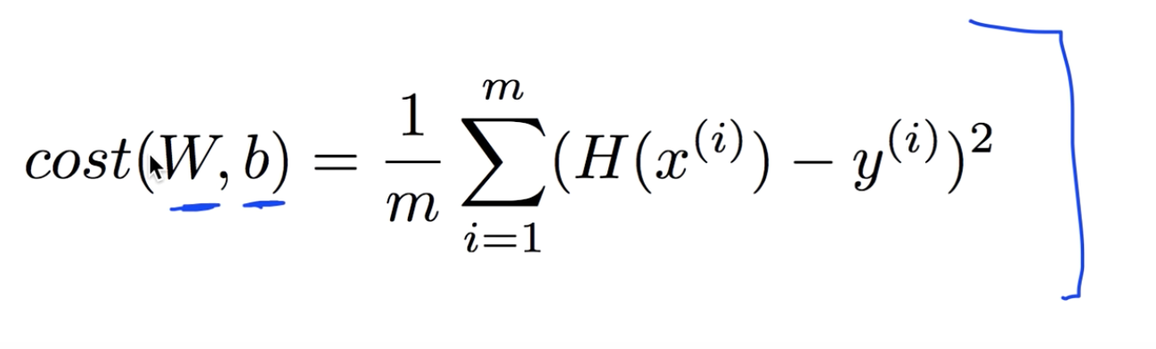
- 일반화 cost function식

가설과 실제 데이터가 얼마나 다른가? 
트레이닝 데이터 m개에 대한 cost function 
H(x)를 대입한 일반 식 
Cost 를 최소화 하는 W,b를 구하는 것이 목표 '인공지능 및 기계학습 개론 > ML_LEC' 카테고리의 다른 글
ML lec 07-1: 학습 rate, Overfitting, 그리고 일반화 (Regularization) (0) 2020.02.11 ML lec 06-1 Softmax Regression: 기본 개념 소개 (0) 2020.02.11 ML lec 06-2 Softmax classifier 의 cost함수 (0) 2020.02.11 ML lec 03 - Linear Regression의 cost 최소화 알고리즘의 원리 설명 (0) 2020.02.10 ML lec 01 - 기본적인 ML용어와 개념 정리 (0) 2020.02.10